En buena parte de los países de América Latina, la ineficiencia implica que se desperdicia o se roban los recursos. En el caso concreto de Ecuador, y es algo que le consta al ciudadano promedio, se generan desperdicios de recursos, hay enormes ineficiencias y adicionalmente se convive con la corrupción
Tiempo de lectura: 12minutos
Wilfrido Figueroa Pico, ULEAM Manta, Docente Facultad Economía [email protected]
Con el apoyo de Pablo Lucio Paredes, Director del Instituto de Economía USFQ [email protected]
El motor del crecimiento de los países ha sido y sigue siendo la Productividad. Cuánto más valor se genera por trabajador (o por habitante), más rico es el país (igual las empresas y las personas). Y la definición más simple y directa de productividad es:
PRODUCTIVIDAD=TECNOLOGÍA X EFICIENCIA
Nota: utilizaremos en este documento una nomenclatura que nos va a facilitar el desarrollo algebraico; tecnología (T), eficiencia (E) y productividad (A). De esta manera:
A=T X E
1. Introducción
David Weil en su libro de crecimiento económico, considera un ejemplo relacionado con dos agricultores que utilizan diferentes semillas, el agricultor (a) utiliza una mejor semilla (que ha pasado por procesos rigurosos de investigación) que (b). Al haber una ventaja tecnológica, (a) termina produciendo el doble que (b). Pero luego el autor plantea que en el caso del agricultor (a), por su ineficiencia, los trabajadores terminan “botando” un quintal por cada dos quintales producidos, de manera que, a pesar de tener una ventaja tecnológica, su ineficiencia termina anulando la ventaja tecnológica, e igualando la productividad. En el mundo real, cabe señalar que los países de ingresos medios y bajos sufren tanto de retraso tecnológico como de ineficiencia, de ahí su menor nivel de desarrollo. En buena parte de los países de América Latina, la ineficiencia implica que se desperdicia o se roban los recursos. En el caso concreto de Ecuador, y es algo que le consta al ciudadano promedio, se generan desperdicios de recursos, hay enormes ineficiencias y adicionalmente se convive con la corrupción, lo que evaluaremos en la parte final del documento.
Weil argumenta que las tecnologías, en una economía cada vez más globalizada (aunque ahora se está revirtiendo en diversas dimensiones), están disponibles en todas partes del mundo independientemente del nivel de desarrollo de los países, por ejemplo, los mismos teléfonos celulares que se usan en Estados Unidos, Singapur, Japón, se usan en países de ingresos medios o bajos. De manera que la disponibilidad homogénea de tecnologías modernas no justificaría mayores diferencias en productividad, y, por tanto, la mayor parte de estas se explicarían en función de eficiencia. Lo mismo resaltan otros autores en libros de texto (como Jeffrey Sachs y Felipe Larraín en Macroeconomía en la Economía Global).
Para los objetivos del presente análisis de productividad, tecnología y eficiencia, los países considerados son: Estados Unidos y Singapur que servirán de referentes y, adicionalmente, México, Colombia, Ecuador, Perú, Bolivia y Chile. Escogimos estos países porque ya los hemos sometido a análisis de productividad relativa en la revista Koyuntura de octubre del 2022, en el artículo: “Productividad, una comparación mundial, y una aproximación al caso del Ecuador”.
El objetivo será “desmenuzar” la productividad (A) en sus dos elementos constitutivos, tecnología (T) y eficiencia (E), y cuantificar la importancia de cada uno, a efectos de precisar si un estimado de número de años de retraso tecnológico es la causa principal de la baja productividad de Ecuador y otros países de América Latina con relación a Singapur, o si hay además un rezago en eficiencia, incluyendo cuestiones institucionales: marco de la ley, calidad de las instituciones, ineficiencia judicial, corrupción en instituciones públicas.
2. ¿Retraso TecnológIco?
Retomemos de Koyuntura octubre del 2022, el análisis relativo de diferentes países al año 2019. Centrémonos en la productividad (relativa a Singa-pur que tiene el nivel 1):
La tabla nos muestra que al año 2019 el único país que superaba en productividad a Singapur era Estados Unidos (1,16). México (0,63) tenía una productividad que equivalía a dos tercios de Singapur. Colombia y Chile aproximadamente igual que México. Bolivia 41%, Perú 43% y Ecuador 37%, el de más baja productividad relativa.
Para empezar a aplicar la metodología de David Weill, y determinar diferencias en productividad en función de cuestiones tecnológicas o de eficiencia, utilizamos los datos de Ecuador, y retomamos la tabla #1:
A(Ecuador)/A(Singapur)=0,37
Si Ecuador dispusiera de la misma dotación de factores que Singapur (pensemos en maquinaria y capacitación), sus trabajadores producirían solo US$ 0,37 por cada US$1 producido por un trabajador de Singapur. Pero la realidad es que la dotación de factores de los trabajadores en Ecuador es solo el 46% de Singapur, así un trabajador ecuatoriano produce solo el 46% de US$ 0,37, es decir US$0,17 por cada US$1 producido en Singapur.
Asumiremos para empezar, que las diferencias en productividad se deben básicamente a diferencias tecnológicas, y que el retraso tecnológico sería la principal causa de que un país como Ecuador tenga baja productividad relativa a Singapur:
1) T(Ecuador)2019=T(Singapur)2019-t
Con esto estamos diciendo que la tecnología usada en Ecuador al año 2019 era igual a las que usaba Singapur al año 2019-t, dónde t es el número de años promedio de retraso tecnológico de Ecuador. Asumamos t=20: la tecnología de la que disponía Ecuador en 2019 era similar a la que usaba Singapur en 1999.
Consideramos luego la evolución tecnológica de Singapur entre 1999 y 2019, es decir, Singapur al 2019 dispone de una tecnología que ha venido mejorando desde el 1999 en función del crecimiento de su productividad al ritmo anual g:
Y reemplazando (2) en (1) obtenemos la expresión (3) que usaremos enseguida:
¿Cálculo de g? En la siguiente tabla plantearemos los datos necesarios para calcular g, el crecimiento interanual de productividad de Singapur desde 1960 (fecha con datos disponibles en la base World Penn Table):
Estemos claros, esto nos dice que Singapur al cabo de 59 años (de 1960 a 2019), produce 14 veces más por trabajador (en dólares), dispone de 21 veces más capital físico por trabajador (pensemos en más maquinaria con su tecnología) y la “capacitación” de su gente es 3 veces mayor. Esto equivale a un crecimiento anual del 4,59% del producto, 5,36% anual del capital físico y del 1,87% anual del capital humano.
Estas tasas de crecimiento las utilizamos para calcular el llamado residuo de Solow que nos indica cuánto ha crecido la productividad:
(Nota: corresponde a la participación del capital físico en la distribución de la renta, cuyo valor se asume en 0,33. 1- es la participación del capital humano). Reemplazando los parámetros:
Así el crecimiento interanual de la productividad en Singapur entre 1960-2019 sería igual g = 1,57%.
¿Cálculo de retraso tecnológico de Ecuador? Tenemos los datos para aplicar la ecuación (3) anterior.
Tomando g = 1,57%, la tasa de crecimiento de la productividad de Singapur entre 1960 y 2019, y asumiendo que este crecimiento se debe enteramente a mejoramientos tecnológicos, y que el retraso tecnológico de Ecuador contra Singapur es de 20 años, la definición (3) genera:
Es decir, al año 2019, el nivel tecnológico de Ecuador representa el 73% del nivel tecnológico de Singapur, porque usamos una tecnología desfasada 20 años. Cada año de retraso, nos hace perder aproximadamente 1% de nivel tecnológico (obviamente, si usáramos la tecnología actual de Singapur estaríamos a su mismo nivel tecnológico… aunque no necesariamente su misma eficiencia que analizamos más adelante).
Nota: Aunque los datos no son necesarios para los objetivos del presente documento, es interesante tener una tabla similar al #2, para Ecuador:
Con estos datos se deriva un crecimiento anual del producto de 0,79%, capital físico 2,0%, y 0,87% para el capital humano. Recordemos que para Singapur los datos eran respectivamente del 4,59%, 5,36% y 1,87%. Así el crecimiento interanual de la productividad en Ecuador entre 1960-2019 sería igual a g = -0,45%. Este dato podría ser deficiente, dado que la medida de crecimiento del stock de capital podría estar afectada por malos registros debido a la corrupción y poca transparencia. Sabemos que en países en vías de desarrollo la medida de “robo o despilfarro” de recursos en obra pública fluctúa entre el 25% y el 43% del registro en formación bruta de capital fijo. (Weil cita los estudios de Prichett al año 2000).
3. ¿Retraso en eficiencia?
Retomamos la expresión inicial, A=T X E, y pongámosla en un formato de comparación Ecuador/Singapur:
Tenemos 2 datos importantes. Al año 2019 la productividad de Ecuador equivalía a 0,37 de la productividad de Singapur, y el nivel tecnológico de Ecuador equivalía a 0,73 del de Singapur (27% de atraso). Podemos entonces usar la definición # 4, para obtener una medida de eficiencia relativa de Ecuador contra Singapur igual a 0,51 (recordar que para lograr este dato hemos considerado un retraso tecnológico o técnico de 20 años).
Conclusión: dados los supuestos, tenemos frente a Singapur, 27% de atraso en tecnología, 63% de atraso en productividad y 49% de atraso en eficiencia.
4. ¿Y si tenemos más o menos años de atraso tecnológico?
Consideremos un diferente número de años en retraso tecnológico (en lugar de los 20 años):
En la medida que el número de años de retraso tecnológico de Ecuador sea mayor a 20 años (primera columna), el cociente T(Ecuador)/T(Singapur) disminuiría (segunda columna), por ejemplo, si las tecnologías de Ecuador tuvieran 70 años de atraso contra Singapur, el cociente sería 0,34, es decir, el nivel tecnológico de Ecuador equivaldría al 34% del nivel de Singapur. Hay que recordar que con 20 años era equivalente al 73%. Es comprensible, cuánto más retrasadas las tecnologías peor nivel tecnológico (como dijimos 1% de pérdida anual aproximadamente).
Para calcular E(Ecuador)/E(Singapur, (tercera co-lumna), utilizamos el dato de productividad relativa a Singapur A(Ecuador)/A(Singapur), que lo hemos estimado antes (0,37 al año 2019), y volvemos a usar la definición # 4. Así bajo el supuesto (el otro extremo) de 70 años de brecha técnica, la eficiencia relativa de Ecuador contra Singapur sería 1,10. La tendencia de este resultado tiene sentido, porque nos dice que si tuviéramos una tecnología con desfase de 70 años, tendríamos que mostrar una eficiencia muy elevada “para en algo” compensarlo y llegar a la diferencia de productividad calculada. Pero los datos de eficiencia que analizaremos con detalle más adelante, basados en temas institucionales mediante la base de datos Index Of Economic Freedom, no avalan que Ecuador sea un país más eficiente que Singapur, sino todo lo contrario. Por tanto, no se puede inferir una brecha técnica de 70 años.
Finalmente, el número de años que igualaría el cociente relativo de la tecnología y la eficiencia, a efectos de generar una productividad de 0,37, estaría entre 30 y 40 años en función de la tabla (4), y sería exactamente igual a 32 años.
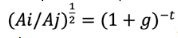
Nota: La fórmula que utilizamos para igualar el peso de la eficiencia y la tecnología relativa es , procedemos a aplicar logaritmos y despejar para encontrar t=-1/2 Para el caso de Ecuador t sería 32 años, e igualaría eficiencia y productividad relativa en 0,61.
Los datos para el resto de los países Latinoamericanos, y de Estados Unidos, se muestra en anexos.
En el caso de Perú, el número de años que permite igualar los cocientes relativos a Singapur de tecnología y de eficiencia, y generar una productividad relativa de 0,43 estaría entre 20 y 30. El caso de Bolivia es similar al de Perú.
Para Chile, el número de años estaría entre 10 y 20. El caso de Colombia, y de México, es similar al de Chile.En el caso de los Estados Unidos, al año 2019, y a diferencia de los países analizados anteriormente, es Singapur el que mostraría un número de años de retraso (exactamente 5 años).
5. Uso de base de datos adicional: Index of economic freedom
Si queremos contrastar, y complementar los resultados obtenidos haciendo uso de la metodología de David Weil, tomaremos la base de datos Index of Economic Freedom, que presenta una aproximación a las siguientes cuestiones:
• Marco de la ley
• Tamaño del Gobierno
• Eficiencia Regulatoria
• Apertura de Mercados
Lo más detallado tiene que ver con el marco institucional, y por ende es una aproximación a cuestiones de eficiencia. Cien (100) es la calificación máxima, y la mínima es cero (0). Presentamos con detalle los indicadores y sus puntuaciones para Estados Unidos, Singapur, que sirven de referentes, y los países de América Latina que son objeto del presente estudio (las calificaciones son cortadas al año 2019):
En función de los puntajes obtenidos, en la columna 2 (puntaje total), el líder de este grupo de países es Singapur. Chile y Estados Unidos comparten el segundo lugar. El resto de los países de América Latina ocupan los últimos lugares, siendo Ecuador y Bolivia los países más ineficientes del conglomerado.
En derechos de propiedad: Perú, México, Ecuador, y Bolivia, tienen puntajes, por debajo del promedio. En eficiencia judicial: los peores puntajes los comparten los países ya referidos, y se suma Colombia. En integridad gubernamental (corrupción): repiten los mismos, es decir todos los latinoamericanos analizados, con la excepción de Chile. En gasto de gobierno: Estados Unidos, Ecuador y Bolivia, obtienen puntajes por debajo del promedio. En salud fiscal, los mismos. En libertad para emprender negocios: Perú, México, Ecuador, y Bolivia, con desempeños por debajo del promedio. Estos serían los indicadores de eficiencia en los cuales los latinoamericanos comparten los peores puntajes.
Finalmente, podemos aprovechar la columna de puntaje total para hacer análisis relativo de eficiencia. Comparamos a cada uno de los países, contra Singapur:
Apliquemos la definición #4 para cada uno de los países.
En el caso de Ecuador, ya teníamos una productividad relativa a Singapur de 0,37(al año 2019), que complementamos con la información de la tabla número seis, que nos muestra un cociente de eficiencia relativa de 0,57, por lo tanto, reemplazamos en la definición:
0,37=TEcuador/TSingapur x 0,57
Encontramos un cociente de tecnología o nivel técnico relativo de 0,65 (antes obtuvimos un nivel muy similar de 0,73). Concluimos en que tanto en tecnología, eficiencia como en productividad, Ecuador está bastante por debajo de Singapur.
En el caso de Chile, su cociente de nivel técnico relativo sería de 0,76. Un rezago importante con relación a Singapur en tecnología, eficiencia, y productividad. Y lo mismo sucede con todos los países latinoamericanos.
En el caso de Estados Unidos, su cociente de productividad relativa a Singapur es de 1,16, su cociente de eficiencia relativa 0,86. En función de estos datos el cociente de tecnología relativa sería de 1,35. Estados Unidos es el único país de los analizados que supera a Singapur en productividad y tecnología, siendo superado en eficiencia.
Adicionalmente, y a efectos del número de años de desfase tecnológico, al ubicar el puntaje de eficiencia relativa de Ecuador versus Singapur de 0,57 en la tabla #4 en la columna #3, encontraríamos que el número de años de retraso tecnológico de Ecuador es algo menor a 30 años (bastante similar a los 32 años obtenidos anteriormente). En el caso de Perú el desfase estaría entre 30 y 40 años, para Chile entre 10 y 20 años, el caso de Colombia es similar, y México 10 años exactamente. No se pudo confirmar el número de años de retraso tecnológico de Bolivia mediante esta metodología.
CONCLUSIONES
• Estados Unidos que siempre sirve de referente en estudios de contabilidad del crecimiento y desarrollo, es el único país de los analizados en este documento que supera en productividad y tecnología relativa a Singapur (datos cortados al año 2019). Aunque en cuestiones de eficiencia, Estados Unidos es superado largamente por Singapur.
• Haciendo uso del modelo matemático propuesto por David Weil, todos los países latinoamericanos considerados muestran un alto grado de retraso técnico o tecnológico contra Singapur. México, Colombia, y Chile, tendrían un desfase menor. En el caso de Ecuador, Perú, y Bolivia encontramos un desfase tecnológico mucho mayor.
• Index of Economic Freedom, nos permite puntuar con mayor facilidad el número de años de desfase tecnológico de los países analizados: En el caso de Ecuador el retraso sería algo menor a 30 años, Perú entre 30 y 40 años, Chile entre 10 y 20 años, Colombia similar a Chile. México exactamente 10 años. No se pudo corroborar el número de años de retraso de Bolivia.
• Todos los países latinoamericanos analizados sufren la misma enfermedad al comparar contra Singapur (Chile sería una excepción al comparar contra Estados Unidos, ya que obtiene los mismos puntajes), esto es ineficiencia, ligada a diversos factores.
Recursos bibliográficos
• Base de datos Banco Mundial
• Base de datos World Penn Table
• Base de datos Index Economic Freedom
• Macroeconomía En La Economía Global Jeffrey Sachs-Felipe Larraín Capítulo 18, edición 1.994
• Crecimiento Económico David Weil, Capítulos 7,10, edición 2.006
• Macroeconomía de Rudiger Dorn-busch-Stanley Fisher Capítulos 3,4, edición novena
• Macroeconomía de Blanchard, Amighini, y Giavazzi, capítulos 11,12,13, edición 2.012
ANEXOS
Ahora puedes recibir notificaciones de Dialoguemos. Descarga la nueva versión de nuestra app y actívalas para no perderte nuestro mejor contenido.
La Universidad San Francisco de Quito (USFQ) fue fundada en 1988 por el Ph.D en física Santiago Gangotena. La USFQ ha jugado un papel importante en el desarrollo de la educación superior, la investigación científica, la creatividad artística y el emprendimiento empresarial en Ecuador.
La gestión de la “cosa pública”
Colombia en la encrucijada. Entre la promesa del cambio y el riesgo del deterioro democrático
UTPL fortalece su proyección global e innovación con agenda estratégica en China
Uso responsable de la IA en el periodismo exige claridad, criterios y límites
Los nuevos censores, dueños de la información