Mirar más allá de lo que nos muestran los datos a primera vista es parte del entrenamiento que recibimos como economistas. Esta habilidad es particularmente importante cuando los datos son escasos, ruidosos y limitados. Con este reto en mente, en un trabajo conjunto con Santiago José Gangotena, proponemos métodos de limpieza de datos de Covid-19 basados en técnicas clásicas de econometría de series de tiempo para calcular dos indicadores clave para el monitoreo de la situación actual de la epidemia: el número efectivo de reproducción y la tasa de positividad.
Luego, utilizamos estos resultados para diseñar un sistema de clasificación que permite determinar, con un margen de error de menos de 1%, si un territorio (país, provincia, cantón, etc.) tiene o no bajo control el proceso de transmisión de Covid-19.
Ecuador es el ejemplo más claro de cómo el manejo de los datosde vigilancia epidemiológica ha afectado la labor de monitoreo por parte de instituciones y personas externas al gobierno. El primer reporte de vigilancia epidemiológica se publicó el 13 de marzo de 2020 y contenía el conteo acumulado de casos confirmados, la distribución geográfica de estos casos, el número total de fallecidos y el número de personas incluidas en cercos epidemiológicos activos. Este reporte no tenía información alguna sobre el proceso de testeo.
Los reportes oficiales empezaron a incluir información de casos confirmados positivos, desagregados a nivel de municipios el 16 de marzo, y a partir del 18 de marzo se empezó a reportar información de testeo, tanto a nivel nacional como provincial. Esta estructura estuvo vigente hasta el 6 de abril, e incluso se reportaban datos desagregados por género y edad. Si bien los reportes se realizaban en formato PDF, era posible construir series de tiempo y realizar análisis bastante completos.
El 21 de marzo la hasta entonces ministra de Salud, Catalina Andramuño, presentó su renuncia y en su lugar fue nombrado el Dr. Juan Carlos Zevallos. Entre los cambios realizados por la nueva administración, se presentaron modificaciones significativas al formato de los reportes de vigilancia epidemiológica, siendo el más significativo el reemplazo del reporte de número de pruebas diarias, por el registro de casos confirmados positivos según fecha de inicio de síntomas.
Esta modificación, en lugar de agregar información a los reportes anteriores, realizaba un intercambio: quebraba la serie anterior de muestras tomadas y procesadas a nivel subnacional, pero abría la puerta al cálculo de demoras en el procesamiento de pruebas a nivel nacional, permitiendo así la construcción de indicadores relacionados directamente con la capacidad institucional para el manejo de la crisis sanitaria.
Cuando una cápsula espacial entra de nuevo en la atmósfera terrestre, hay un período de tiempo en el que pierde contacto con el centro de control, y se produce un velo negro: 5 minutos (que parecen horas) en los que las personas en la Tierra no tienen información de la situación de la cápsula espacial. Cuando el contacto se reanuda, el resultado es dicotómico, es decir, la cápsula logró o no logró penetrar exitosamente la atmósfera terrestre.
El Ministerio de Salud Pública generó una especie de velo negro respecto a la información de vigilancia epidemiológica que empezó el 24 de abril. Ese día, el número de casos confirmados pasó de 23.383 a 45.857, de los cuales 22.719 eran positivos (prácticamente duplicando el número reportado el día anterior). El fin de semana del 25 de abril, no hubo información, y el conteo se reanudó el lunes 27 con sorpresas en el número de casos positivos a nivel provincial: Guayas presentaba 15.365 casos confirmados positivos el viernes 24 y el lunes 27 sólo se reportaban 10.172; mientras en Pichincha ese número pasó de 1.634 a 1.194 y en Manabí de 1.869 a 514, por tomar 3 ejemplos.
La razón para estas variaciones estaba en letra chica: mientras el conteo a nivel nacional incluía resultados de PCR y pruebas rápidas, los casos confirmados a nivel provincial sólo incluían los resultados de PCR. Entonces, mientras la agregación de datos provinciales sumaba 15.004 casos positivos confirmados, el total nacional (que incluía resultados de pruebas rápidas) llegaba a 23.240, una diferencia de 54.9%. Además, el 27 y 28 de abril no se reportaron datos a nivel cantonal, generando una brecha de 4 días – lo suficiente para quebrar la serie de tiempo. Todo esto sucedía un día después de que el gobierno nacional informaba que las decisiones respecto al confinamiento en cada territorio, ya no era responsabilidad del Ejecutivo sino que recaían sobre los comités de emergencia cantonales, en coordinación con los comités provinciales.
…. mientras el conteo a nivel nacional incluía resultados de PCR y pruebas rápidas, los casos confirmados a nivel provincial sólo incluían los resultados de PCR. Entonces, mientras la agregación de datos provinciales sumaba 15.004 casos positivos confirmados, el total nacional (que incluía resultados de pruebas rápidas) llegaba a 23.240, una diferencia de 54.9%.
Pero las sorpresas no terminaron ahí. Hasta el 4 de mayo el número acumulado de casos positivos llegó a 31.881, el 5 de mayo no hubo reporte, y el 6 de mayo habían disminuido a 29.420. Asimismo, el número total de casos confirmados pasó de 66.160 el 4 de mayo a 63.300 el 6 de mayo. Luego, el 7 de mayo tuvimos 30.298 casos positivos confirmados, y el 8 de mayo este número volvía a caer a 28.818. Estas disminuciones no son normales en conteos acumulados que, por definición, acumulan casos en el tiempo. La explicación del Ministerio de Salud Pública para estos cambios era la existencia de casos duplicados.
Todo esto decanta en un velo negro que se puede observar en la Figura 1. El eje horizontal mide el número acumulado de casos positivos confirmados (que aumenta por ser la suma acumulada de casos diarios), y el eje vertical registra el conteo diario (que, si aumenta, implica que el proceso de infección es explosivo), ambos medidos en escala logarítmica. El panel izquierdo muestra la trayectoria para varios países en proceso de disminución y el panel de la derecha la trayectoria de Ecuador y otros países con procesos de transmisión activos. Cuando las curvas en estos gráficos cambian de pendiente (de positiva a negativa), es una señal de que el proceso de infección está disminuyendo, ya que cada día hay menos casos positivos reportados. Lógicamente, esta curva es informativa y útil, siempre y cuando la calidad de los datos de vigilancia epidemiológica sea buena. En Ecuador, esta trayectoria no genera información por sí sola, pero si muestra claramente el velo negro del que estamos hablando: es la parte de la serie que desaparece en el panel derecho, ya que contiene valores negativos que desaparecen al calcular los logaritmos.
FIGURA 1:
Trayectoria de casos positivos confirmados acumulados contra casos positivos confirmados diarios. El panel de la izquierda muestra las trayectorias para un grupo de países con procesos de transmisión avanzados, mientras que el panel de la derecha muestra la trayectoria de países con procesos de transmisión activos, entre ellos Ecuador.

Ecuador, por las dificultades en la información que se acaban de relatar, es precisamente el caso que tenemos en mente para desarrollar el método que proponemos en nuestro trabajo de investigación.
Nos preguntamos ¿qué podemos aprender de datos cuyo proceso de recopilación genera diversos tipos de ruido, que van desde errores de medición (debido, por ejemplo, al nivel de sensibilidad de las pruebas utilizadas) y sesgo de selección (dado que gran parte de las pruebas se realizan a personas que muestran síntomas), hasta componentes estacionales (variaciones en los datos que se explican, por ejemplo, sólo por ocurrir durante fines de semana) y valores atípicos (como el pico de 11.536 casos positivos diarios reportados el 24 de abril en Ecuador)?.
El método consiste en aplicar técnicas de econometría de series de tiempo para limpiar los datos, y así poder estimar dos indicadores clave de vigilancia epidemiológica (más adelante explicamos qué significa cada uno): el número efectivo de reproducción y la tasa de positividad. A partir del cálculo de ambos indicadores, diseñamos un sistema de clasificación que nos permite determinar si la transmisión de la enfermedad se encuentra o no bajo control, al menos temporalmente.
El número efectivo de reproducción es el promedio del número de casos secundarios por cada caso infectado dentro de una población (es decir cuántas personas adicionales son contagiadas por cada infectado). Si este número es menor a 1, el número de casos diarios irá disminuyendo conforme pasa el tiempo. Por el contrario, si el indicador es mayor o igual a 1, el número de nuevas infecciones está aumentando. Es una medida de la velocidad de propagación de una enfermedad en una población.
La tasa de positividad mide la proporción de resultados positivos que se obtienen en el conteo diario de pruebas realizadas. A diferencia del número efectivo de reproducción, la tasa de positividad responde a factores institucionales propios de las políticas de salud pública aplicadas dentro de cada territorio. En este sentido, la Organización Mundial de Salud considera que la escala de testeo es adecuada cuando la tasa de positividad se mantiene por debajo de 10%, mientras que el levantamiento de las medidas de confinamiento es seguro cuando este indicador se mantiene por debajo de 5% al menos durante 14 días.
Nota Metodológica – Antes de aplicar nuestro método a datos reales, lo probamos en un ambiente controlado. Para esto, diseñamos un modelo basado en agentes con dos capas de modelamiento. La primera capa (una versión del modelo SEIRD, típicamente utilizado para modelar procesos epidemiológicos) simula la transmisión de la enfermedad en una población, mientras que la segunda capa (proceso de recolección de datos), simula el proceso de testeo bajo diferentes diseños que varían, principalmente, en la escala (porcentaje de población que se realiza la prueba) y la probabilidad de ser aplicados priorizando población sintomática. En total simulamos 4.000 escenarios diferentes.
A través de este ejercicio encontramos que, tanto el número efectivo de reproducción como la tasa de positividad, calculados a partir de los datos generados con el proceso de testeo, son estimadores sistemáticamente sesgados de los valores poblacionales. Por este motivo, cuando utilizamos sistemas simples de clasificación basados en estos indicadores (número efectivo de reproducción menor a 1 o tasa de positividad menor a 10%), se generan errores de clasificación en el orden de 6.1% y 23.6%. Es decir, la estimación del número efectivo de reproducción en base a la información publicada, por ejemplo, podría estar por debajo de 1, pero el proceso real de infección implicaría que todavía está por encima de 1.
Lógicamente, este tipo de errores son muy delicados, especialmente si los resultados son considerados como reglas de decisión (por ejemplo, la recomendación de la OMS respecto a tasas por debajo de 5% durante 14 días para levantar medidas de confinamiento).
Para evitar estos errores, diseñamos un sistema de clasificación mixto, que tiene en cuenta los límites definidos para el número efectivo de reproducción y la tasa de positividad de manera conjunta. Bajo este sistema, la única forma en la que podemos determinar que el proceso de transmisión está temporalmente bajo control es si el número efectivo de reproducción está por debajo de 1 y, al mismo tiempo, la tasa de positividad está por debajo de 10%. Este análisis conjunto logra disminuir el error de clasificación por debajo de 0,5%.
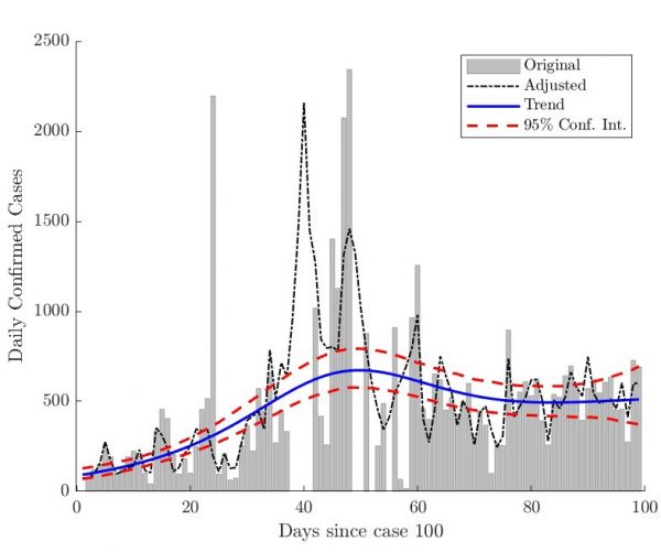
¿Hay algo que aprender de los datos oficiales de Ecuador? Claramente no, a primera vista, por todas las limitaciones y fallas señaladas. Sin embargo, nuestro método nos ayuda a encontrar información, incluso cuando parece esquiva. En la Figura 2 mostramos los datos de casos positivos confirmados oficiales (barras grises), la serie ajustada una vez que filtramos shocks estacionales y datos atípicos (línea punteada negra) y la tendencia de dicha serie (línea azul) con su respectivo intervalo de confianza al 95% (líneas punteadas rojas) con datos actualizados al 24 de junio.

FIGURA 2:
Comparación de datos oficiales, datos ajustados y tendencia estimada para Ecuador. En el eje horizontal contamos los días a partir del reporte del caso 100, mientras que el eje vertical mide el número de casos positivos confirmados diariamente. Por motivos de visualización, hemos eliminado los conteos diarios negativos y el pico de 11.536 casos positivos diarios reportados el 24 de abril. Sin embargo, esta información si está considerada en el proceso de limpieza de datos.
Nuestras estimaciones para Ecuador muestran un primer pico de contagios que coincide con las fechas de repunte en el procesamiento de pruebas, alrededor de 50 días posteriores al reporte del caso 100. Nuestra hipótesis es que este pico está adelantado entre 20 y 30 días debido a la rapidez con la que colapsó el sistema hospitalario en la provincia del Guayas, al inicio de la pandemia. Sin embargo, es interesante ver que, contrario a las predicciones teóricas de los modelos SIR, la disminución después del pico no ha sido exponencial y, por el contrario, parece ser que el número de casos positivos diarios reportados está tendiendo a estabilizarse en 500 casos diarios, en promedio.
…parece ser que el número de casos positivos diarios reportados está tendiendo a estabilizarse en 500 casos diarios, en promedio.
Este resultado es un primer indicador de que, lejos de lo afirmado por el Ministro de Salud Pública, la transmisión de Covid-19 en Ecuador todavía no está bajo control, peor en la provincia de Pichincha, donde todavía no se ha llegado al pico de contagios y las unidades de cuidado intensivo ya están a tope.
Nuestras estimaciones de la tasa de positividad y el número efectivo de reproducción confirman esta hipótesis (ver Figura 3). En lo que va de la pandemia, la tasa de positividad en Ecuador nunca ha estado por debajo de 30% (panel izquierdo en la Figura 3), y muestra un cambio de tendencia en los últimos días. Actualmente, la tasa de positividad estimada está en 39.3%, con un intervalo de confianza que va entre 33.4% y 45.8%. La implicación inmediata de estos resultados es que la escala de testeo en Ecuador es insuficiente.
Pero, además, nuestro cálculo del número efectivo de reproducción (panel derecho en la Figura 3) muestra que, si bien estuvo por debajo de 1 por unos días, este comportamiento fue temporal y cambió de tendencia, lo que implica que el proceso de transmisión es endémico. Actualmente, nuestra estimación para este indicador es 1.01 dentro de un intervalo que va entre 0.93 y 1.11.

FIGURA 3:
Tasa de positividad (Izquierda) y número efectivo de reproducción (Derecha) estimados para Ecuador.
Entonces, ¿qué historia nos cuenta estos dos indicadores?
La respuesta a esta pregunta la mostramos gráficamente en la Figura 4. Aquí, comparamos la trayectoria
de Ecuador, tomando en cuenta la evolución del número efectivo de reproducción (eje horizontal) y la tasa de positividad (eje vertical), y la comparamos con las trayectorias de otros 51 países con datos obtenidos en la base de Our World in Data actualizados al 15 de junio. En este gráfico los colores más cálidos (i.e. que tienden a amarillo) muestran sectores con mayor concentración de países que han transitado por cada sector del gráfico. Además, las líneas punteadas rojas muestran los límites de 1 para el número efectivo de reproducción y 10% para la tasa de positividad, es decir los países que están hacia la izquierda y hacia abajo están saliendo de la situación de contagio más grave.
Este análisis muestra claramente que Ecuador está en una trayectoria de repunte en el proceso de transmisión de Covid 19. Los cambios de tendencia en el número efectivo de reproducción y la tasa de positividad implican que Ecuador está ingresando en el cuadrante ocupado por países como Bolivia, México o Perú, que actualmente están atravesando procesos infecciosos con tasas de crecimiento exponencial. Este resultado exige medidas de contención inmediatas por parte de las autoridades, sobre todo con el fin de evitar un nuevo colapso del sistema sanitario.

FIGURA 4:
El panel de la izquierda muestra el esquema de clasificación definido por el número efectivo de reproducción (eje horizontal) y la tasa de positividad (eje vertical). El cuadrante I implica un proceso de transmisión activo con casos positivos que van en aumento diariamente. Cuando un país se encuentra en el cuadrante II el proceso parece estar bajo control, pero el nivel de testeo es insuficiente para estar seguros. Únicamente los países en el cuadrante III tienen controlado el proceso de transmisión, al menos temporalmente. El panel de la derecha muestra la trayectoria de Ecuador en comparación con las trayectorias de otros países. Colores más cálidos (amarillo) muestran una mayor densidad de puntos. Por ejemplo, es posible observar que hay muchos países en la esquina inferior izquierda del gráfico, lo cual se explica por lo avanzado que está el proceso de infección en muchos países de Europa y Asia. Ecuador sólo ha transitado entre el cuadrante I y II, y muestra signos de regreso al cuadrante I.
Este análisis muestra claramente que Ecuador está en una trayectoria de repunte en el proceso de transmisión de Covid 19. Este resultado exige medidas de contención inmediatas por parte de las autoridades.
La respuesta es no necesariamente. El mayor temor de los hogares y las empresas en Ecuador es que una nueva ola de contagios en el país nos lleve otra vez a tomar medidas de confinamiento extremo, en el que las actividades económicas quedan en pausa y muchos hogares se quedan sin fuente de sustento. Sin embargo, existen alternativas plausibles a la cuarentena total, que lograrían mantener niveles aceptables de actividad económica tratando de garantizar la salud de los ciudadanos.
Una de las propuestas más prometedoras en esta línea son las cuarentenas itinerantes, propuestas por el profesor Baruch Barzel de la Universidad de Bar-Ilan en Israel. Este sistema consiste en un esquema de cuarentenas alternadas en el que, cada semana, la mitad de la población permanece en cuarentena, mientras que la otra mitad continúa con la actividad económica normal y los turnos se van alternando cada semana. De esta manera, se logra una activación segura y permanente de, al menos, 50% de la actividad económica, pero además se logra aislar a los contagios que van desarrollando síntomas durante la semana de cuarentena. De esta manera, este esquema logra aislar la mayoría de los casos pre-sintomáticos durante su etapa infecciosa, logrando así una caída drástica en la transmisión viral.
Sin embargo, para el éxito de esta o cualquier otra alternativa, la transparencia es un elemento fundamental. Transparencia no sólo en el uso de los recursos públicos, sino también en la información de vigilancia epidemiológica que está disponible para el público en general. El acceso a esta información es clave para que la academia pueda ejercer su rol de entidad de monitoreo y asesoramiento para el diseño y evaluación de la política pública.
Con esto en mente, terminamos este artículo, haciendo un llamado público al Dr. Juan Carlos Zevallos para que el Ministerio de Salud Pública publique la base de datos anónima de vigilancia epidemiológica, incluyendo fechas de inicio de síntomas y notificación. Este tipo de apertura nos ayudaría sobremanera a fortalecer nuestros análisis y a proveer información la población en general.
… un llamado público al Dr. Juan Carlos Zevallos para que el Ministerio de Salud Pública publique la base de datos anónima de vigilancia epidemiológica, incluyendo fechas de inicio de síntomas y notificación.
La mejor manera de tomar decisiones es hacerlo con la mayor y mejor cantidad de información posible.
Nota- Este artículo es una aplicación de la metodología descrita en el trabajo de investigación titulado The Analysis of Covid-19 Surveillance Data: What can we Learn from Limited Information escrito por Carlos Uribe-Terán y Santiago José Gangotena. El trabajo se encuentra disponible bajo un esquema de preprint publicado por SSRN.
Texto toginal publicado en la Revista Koyuntura de la USFQ
¿Ya conoces nuestro canal de YouTube? ¡Suscríbete!
Buen artículo, el acceso a la información es fundamental para el manejo de una crisis. Esto lo debe mencionar el señor Presidente de la República, en una cadena nacional.